Purpura Fulminans Treatment / Ceprotin To Treat Acute Purpura Fulminans And Venous Thrombosis / This is important because of the widespread thrombosis associated with this disease can lead to damage of multiple end organs.

Purpura Fulminans Treatment / Ceprotin To Treat Acute Purpura Fulminans And Venous Thrombosis / This is important because of the widespread thrombosis associated with this disease can lead to damage of multiple end organs.. Platelet transfusion, due to a potentially excessive rapid loss of thrombocytes. In most cases, there is no treatment required for senile purpura. Treatment treating purpura fulminans is achieved through elimination of the underlying cause, since purpura itself cannot be treated by any means. Prevention and treatment of purpura fulminans. Some authors recommend the use of thrombolytic therapy in patients with meningococcal purpura fulminans and shock, in an attempt to reverse established widespread small vessel thromboses that have occurred in the setting of elevated pai‐1 levels.

Intensive care unit in a tertiary care pediatric hospital.patients: The mortality rate has decreased with better treatment of secondary infections, supportive care, and new treatments, but it remains a disabling condition often requiring major amputations. 94.4% (n=17) of ceprotin treatments were rated as effective in treating purpura fulminans (pf) compared to 52.4% (n=11) of the historical controls 1,2. This is important because of the widespread thrombosis associated with this disease can lead to damage of multiple end organs. Treatment for other forms of purpura centers around tackling the underlying cause.

Disseminated Intravascular Coagulation Dic Clinical Grepmed
Disseminated Intravascular Coagulation Dic Clinical Grepmed from img.grepmed.com
As this commences, finding and treating the underlying cause is essential. Ffp replaces deficient protein c. Features include hypotension, disseminated intravascular coagulation (dic) and purpura leading to tissue necrosis with small vessel thrombosis. 94.4% (n=17) of ceprotin treatments were rated as effective in treating purpura fulminans (pf) compared to 52.4% (n=11) of the historical controls 1,2. In general, the authors recommend a conservative approach to treatment of idiopathic purpura fulminans that includes excising gangrenous areas after they have been demarcated from purpuric and. Patients may require blood transfusions if the condition progresses to the point of hemorrhage. This is important because of the widespread thrombosis associated with this disease can lead to damage of multiple end organs. However, some people dislike the appearance of the bruises and seek treatment.

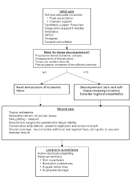
Treatment of cutaneous necrosis and distal

The treatment of all types of purpura fulminans starts with supportive care and adequate hydration. In only one of these series. In this review, we address the diagnosis and management of pf with a focus on a rational approach to this condition informed by the available data. With the advent of vaccination, meningococcal disease has become infrequent, with a reported incidence of 1 case per 100,000 people per year. Purpura fulminans (pf), first described by guelliot in 1884, is a haemorrhagic condition usually associated with either benign infection or severe sepsis. The standard treatment for purpura fulminans is transfusion of ffp 10 to 20 ml/kg every 12 hours. Early recognition and prompt treatment is essential to reduce morbidity and mortality. Adults diagnosed with mild thrombocytopenic purpura may recover without any intervention. The treatment of all types of purpura fulminans starts with supportive care and adequate hydration. You will need treatment if the disorder causing purpura doesn't go away on its own. In general, the authors recommend a conservative approach to treatment of idiopathic purpura fulminans that includes excising gangrenous areas after they have been demarcated from purpuric and. Children with purpura fulminans should be referred to a paediatric intensive care unit. However, some people dislike the appearance of the bruises and seek treatment.

Features include hypotension, disseminated intravascular coagulation (dic) and purpura leading to tissue necrosis with small vessel thrombosis. Intensive care unit in a tertiary care pediatric hospital.patients: Purpura fulminans represents a clinical situation of extreme urgency that requires antibiotic treatment as early as possible, without waiting for the confirmation of the diagnosis and not subject to the preliminary results of a blood culture or. This is important because of the widespread thrombosis associated with this disease can lead to damage of multiple end organs. Purpura fulminans treatment usually includes anticoagulants to prevent depletion of coagulation factors and aid the possible reversal of tissue necrosis.

Review Of Management Of Purpura Fulminans And Two Case Reports Sciencedirect
Review Of Management Of Purpura Fulminans And Two Case Reports Sciencedirect from ars.els-cdn.com
As this commences, finding and treating the underlying cause is essential. In most cases, there is no treatment required for senile purpura. 94.4% (n=17) of ceprotin treatments were rated as effective in treating purpura fulminans (pf) compared to 52.4% (n=11) of the historical controls 1,2. Purpura fulminans treatment the treatment of all types of purpura fulminans starts with supportive care and adequate hydration. Get dosing information, learn about the mechanism of action, and see clinical data. Treatment of cutaneous necrosis and distal Children with purpura fulminans should be referred to a paediatric intensive care unit. However, some people dislike the appearance of the bruises and seek treatment.

Purpura fulminans is an acute, often fatal, thrombotic disorder which manifests as blood spots, bruising and discolouration of the skin resulting from coagulation in small blood vessels within the skin and rapidly leads to skin necrosis and disseminated intravascular coagulation.

You will need treatment if the disorder causing purpura doesn't go away on its own. Treatment for other forms of purpura centers around tackling the underlying cause. The known categories include protein c deficiency or abnormalities of other coagulation systems (inherited or acquired), acute infectious pf and idiopathic. Inadequate data was available for treatment of wisn. This is important because of the widespread thrombosis associated with this disease can lead to damage of multiple end organs. This can include options such as chemotherapy, antiviral drugs, steroid medications, antibiotics , and surgery. This is important because of the widespread thrombosis associated with this disease can lead to damage of multiple end organs. 94.4% (n=17) of ceprotin treatments were rated as effective in treating purpura fulminans (pf) compared to 52.4% (n=11) of the historical controls 1,2. In most cases, there is no treatment required for senile purpura. In this review, we address the diagnosis and management of pf with a focus on a rational approach to this condition informed by the available data. As this commences, finding and treating the underlying cause is essential. The mortality rate has decreased with better treatment of secondary infections, supportive care, and new treatments, but it remains a disabling condition often requiring major amputations. Early recognition and prompt treatment is essential to reduce morbidity and mortality.

Recombinant protein c is a rational therapy for purpura fulminans, given that deficient protein c is a cornerstone of the pathophysiology of this entity. However, some people dislike the appearance of the bruises and seek treatment. Purpura fulminans treatment the treatment of all types of purpura fulminans starts with supportive care and adequate hydration. You will need treatment if the disorder causing purpura doesn't go away on its own. Management of pf involves treatment of the underlying infection, aggressive anticoagulation, and robust transfusion support aimed at correcting acquired deficiencies in natural anticoagulant proteins.

A Profile Of 23 Indian Patients With Purpura Fulminans A Retrospective Descriptive Study Ghosh Sk Bandyopadhyay D Dutta A Jane P E Biswas Sk Indian J Dermatol
A Profile Of 23 Indian Patients With Purpura Fulminans A Retrospective Descriptive Study Ghosh Sk Bandyopadhyay D Dutta A Jane P E Biswas Sk Indian J Dermatol from www.e-ijd.org
94.4% (n=17) of ceprotin treatments were rated as effective in treating purpura fulminans (pf) compared to 52.4% (n=11) of the historical controls 1,2. In this review, we address the diagnosis and management of pf with a focus on a rational approach to this condition informed by the available data. The prognosis is directly related to the time of care. Adults diagnosed with mild thrombocytopenic purpura may recover without any intervention. Purpura fulminans treatment usually includes anticoagulants to prevent depletion of coagulation factors and aid the possible reversal of tissue necrosis. Features include hypotension, disseminated intravascular coagulation (dic) and purpura leading to tissue necrosis with small vessel thrombosis. While the cause is being investigated, replacement therapy must be initiated, including: This is important because of the widespread thrombosis associated with this disease can lead to damage of multiple end organs.

Purpura fulminans treatment the treatment of all types of purpura fulminans starts with supportive care and adequate hydration.

To evaluate the clinical and laboratory effects of protein c concentrate as an adjunct to conventional therapy in the treatment of meningococcemia with purpura fulminans.design: Purpura fulminans represents a clinical situation of extreme urgency that requires antibiotic treatment as early as possible, without waiting for the confirmation of the diagnosis and not subject to the preliminary results of a blood culture or. Purpura fulminans is an acute, often fatal, thrombotic disorder which manifests as blood spots, bruising and discolouration of the skin resulting from coagulation in small blood vessels within the skin and rapidly leads to skin necrosis and disseminated intravascular coagulation. The standard treatment for purpura fulminans is transfusion of ffp 10 to 20 ml/kg every 12 hours. Features include hypotension, disseminated intravascular coagulation (dic) and purpura leading to tissue necrosis with small vessel thrombosis. Patients may require blood transfusions if the condition progresses to the point of hemorrhage. Children with purpura fulminans should be referred to a paediatric intensive care unit. The known categories include protein c deficiency or abnormalities of other coagulation systems (inherited or acquired), acute infectious pf and idiopathic. Ffp replaces deficient protein c. Get dosing information, learn about the mechanism of action, and see clinical data. Early recognition and prompt treatment is essential to reduce morbidity and mortality. Purpura fulminans treatment the treatment of all types of purpura fulminans starts with supportive care and adequate hydration. This can include options such as chemotherapy, antiviral drugs, steroid medications, antibiotics , and surgery.

Purpura fulminans (pf) is a rare, potentially fatal complication of disseminated intravascular coagulation that is commonly associated with severe bacterial infections such as those caused by the bacterium neisseria meningitidis purpura fulminans. Early recognition and prompt treatment is essential to reduce morbidity and mortality.

Comments